|
Ответов: 8993
Рейтинг: 825
|
|||
|
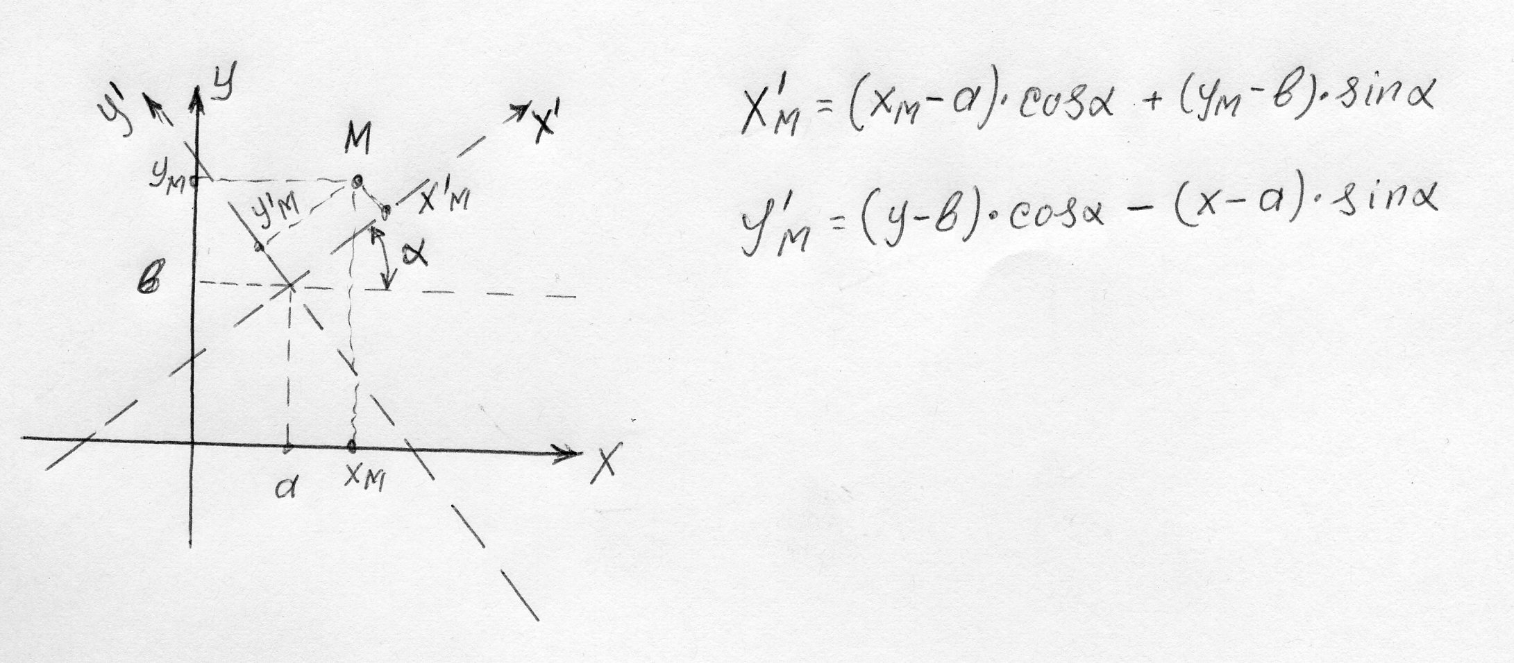
Вот, нарисовал формулы, на всякий случай
|
|||
| карма: 19 |
| ||
| файлы: 1 | СдвигПоворот.jpg [283.7KB] [281] | ||
| Голосовали: | sla8a, MAV |
Вверх ↑
HiAsm Studio 2003 - 2025



Поиск
Друзья
Администрация